• Предмет: Геометрия
  • Автор: Dudka1997
  • Вопрос задан 10 лет назад

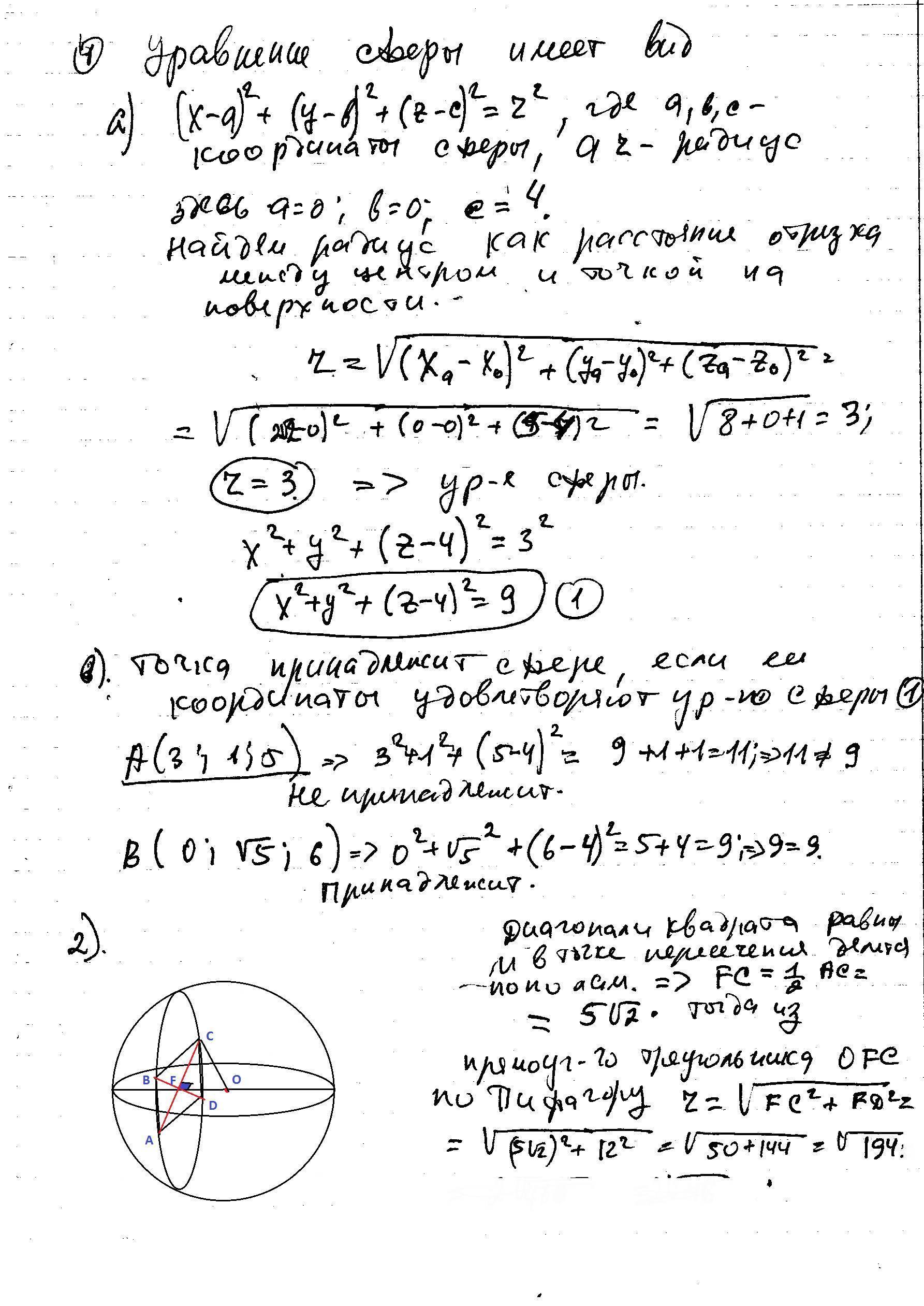
1.Центр сферы имеет координаты (0;0;4). Сфера проходит через точку (2корня из 2;0;5).

1)напишите уравнение сферы.

2)принадлежат ли сфере точки с координатами (3;1;5) , (0;корень из 5; 6)?

2. Все стороны квадрата касаются сферы. Диагональ квадрата равна 10 корнейиз 2 . Найдите радиус, если расстояние от цеетра  сферы до плоскости к

Ответы

Ответ дал: ужнеужели
0
Все стороны квадрата касаются сферы. Диагональ квадрата равна 10 корней из 2 . Найдите радиус, если расстояние от центра  сферы до плоскости квадрата равно 12
Приложения:
Вас заинтересует