• Предмет: Алгебра
  • Автор: onixsonme
  • Вопрос задан 8 лет назад

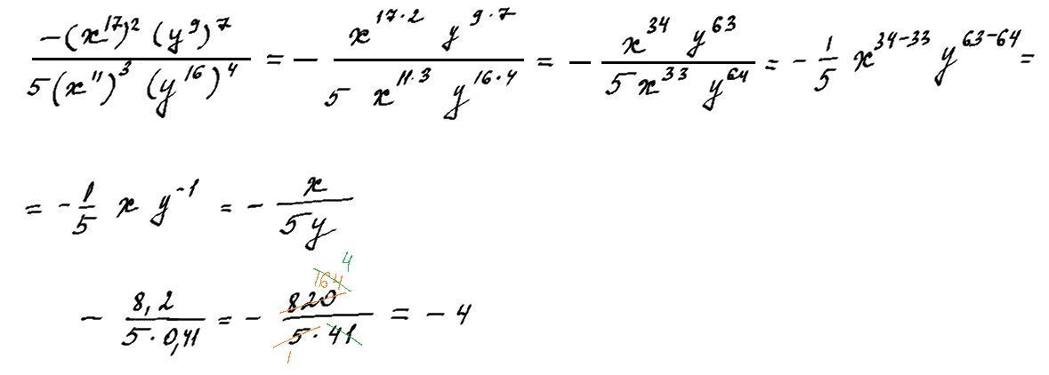
Найдите значение дроби 5(x^11)^3 (y^16)^4/ −(x^17 )^2 (y^9)^7 ​ при x = 8 , 2 , y = 0 , 4 1 . Ответ запишите в виде целого числа.

Приложения:

Ответы

Ответ дал: UluanaV
1

Ответ:

- 4

Объяснение:

Решение на фото.

Приложения:
Вас заинтересует