• Предмет: Алгебра
  • Автор: kirill13022017
  • Вопрос задан 8 лет назад

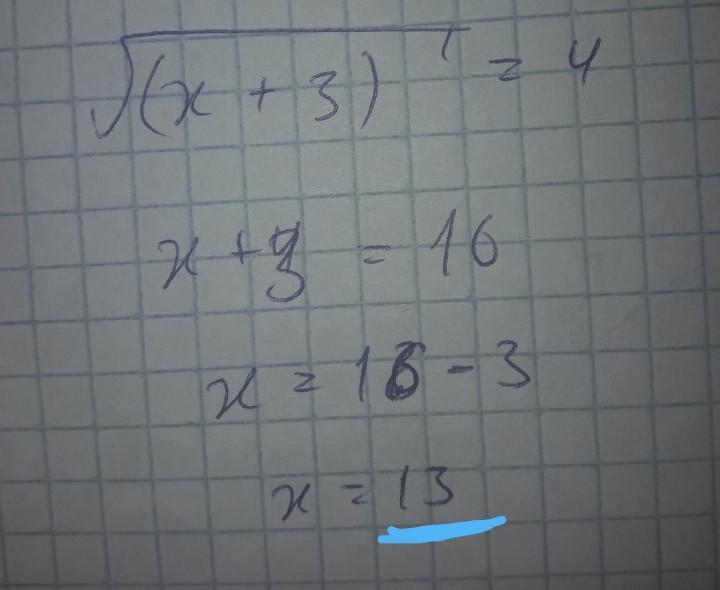
Розв’язати рівняння: √(x+3)=4

Ответы

Ответ дал: ssevda2005
0

Ответ:

x = 16 \\

Объяснение:

я написала решение на картинке

Приложения:
Ответ дал: sonarusskaa
0
Ответ: X=13; √(13+3)=4 √16=4
Вас заинтересует