• Предмет: Алгебра
  • Автор: Аноним
  • Вопрос задан 8 лет назад

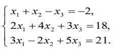
Решить систему линейных уравнений матричным методом (используя обратную матрицу)

Приложения:

Ответы

Ответ дал: NNNLLL54
0

Ответ:

\left\{\begin{array}{l}x_1+x_2-x_3=-2\\2x_1+4x_2+3x_3=18\\3x_1-2x_2+5x_5=21\end{array}\right\\\\\\\Delta =\left|\begin{array}{ccc}1&1&-1\\2&4&3\\3&-2&5\end{array}\right|=(20+6)-(10-9)-(-4-12)=41\\\\\\A_{11}=26\ \ \ ,\ \ \ A_{12}=-1\ \ \ ,\ \ \ A_{13}=-16\\A_{21}=-3\ \ ,\ \ \ A_{22 }=8\ \ \ \ \, ,\ \ \ \ A_{23}=5\\A_{31}=7\ \ \ ,\ \ \ \ A_{32}=-5\ \ ,\ \ \ \ \, A_{33}=2\\\\A^{-1}=\dfrac{1}{41}\cdot \left(\begin{array}{ccc}26&-3&7\\-1&8&-5\\-16&5&2\end{array}\right)

X=A^{-1}\cdot B=\dfrac{1}{41}\cdot \left(\begin{array}{ccc}26&-3&7\\-1&8&-5\\-16&5&2\end{array}\right)\cdot \left(\begin{array}{ccc}-2\\18\\21\end{array}\right)=\dfrac{1}{41}\cdot \left(\begin{array}{ccc}41\\41\\164\end{array}\right)=\left(\begin{array}{ccc}1\\1\\4\end{array}\right)    

Вас заинтересует