• Предмет: Алгебра
  • Автор: meshavkina04
  • Вопрос задан 8 лет назад

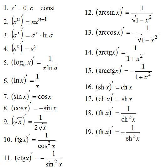
1) Укажи вариант с производной функции ctgx.
С РЕШЕНИЕМ.
2) Выбери вариант с производной функции 5x+1.
С РЕШЕНИЕМ

Приложения:

Ответы

Ответ дал: nastyaorlova5
3

Ответ:

производная котангенса - это табличное значение

второй пример: (5x+1)\prime = 5 + 0 = 5

Приложения:
Вас заинтересует