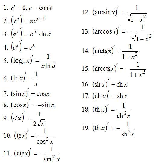
1) Отметь вариант с производной функции arcsinx.
С РЕШЕНИЕМ
2) Укажи вариант с производной функции cosx.
Приложения:


Ответы
Ответ дал:
1
Ответ:
арксинус - первый ответ
косинус - второй ответ
Здесь не может быть решения т.к. это базовые функции производные которых нужно просто знать либо пользоваться соответствующей таблицей производных
Приложения:

Вас заинтересует
3 года назад
3 года назад
8 лет назад
8 лет назад
9 лет назад