Ответы
Ответ дал:
1
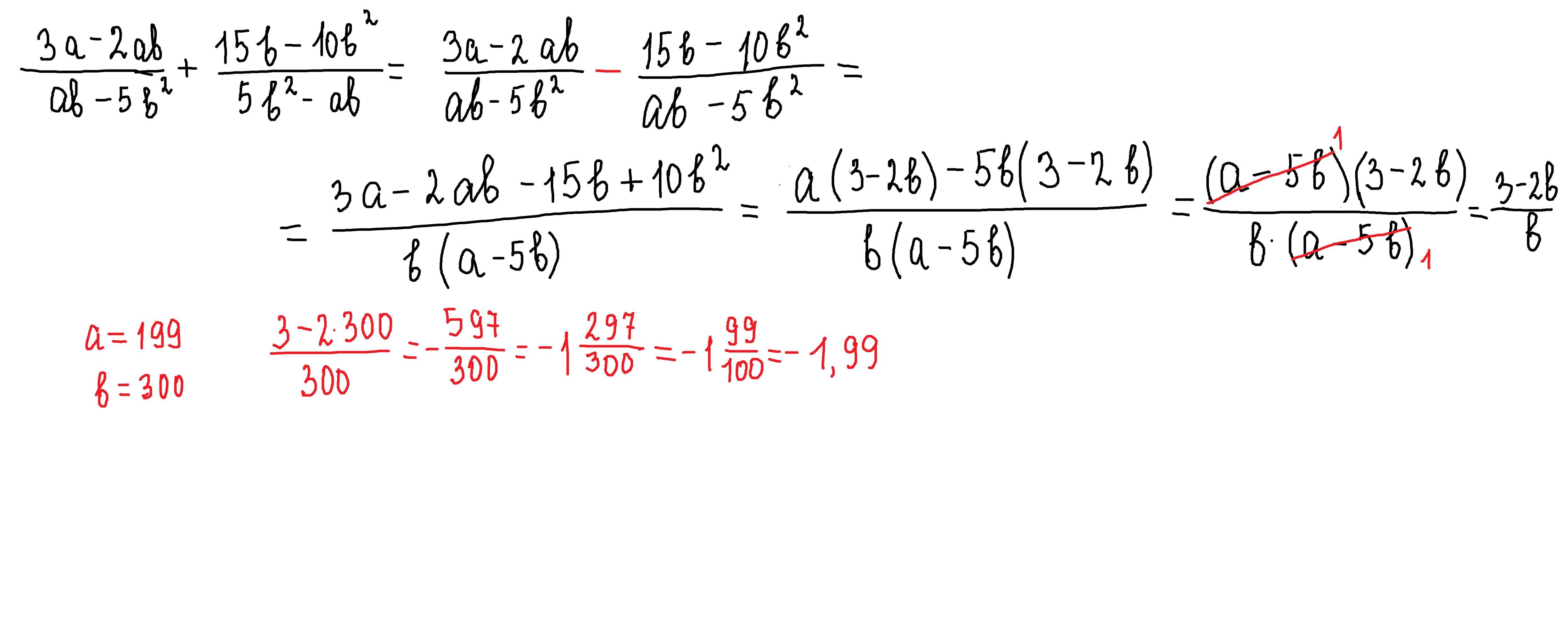
Ответ:
-1,99
Объяснение:
Приложения:

Вас заинтересует
2 года назад
2 года назад
3 года назад
3 года назад
8 лет назад
9 лет назад