ПОМОГИТЕ СРОЧНО ПОЖАЛУЙСТА!!
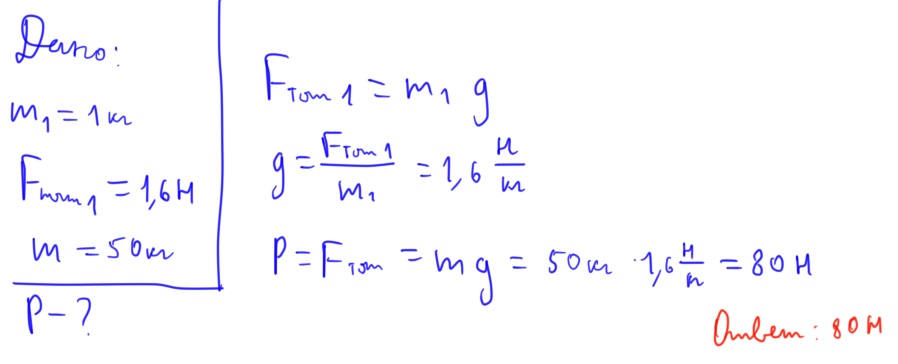
На тело массой 1 кг на Луне действует сила тяжести 1,6 Н. Определите вес человека массой 50 кг на Луне.
Ответы
Ответ дал:
0
Решение на картинке.
Приложения:

Вас заинтересует
2 года назад
2 года назад
8 лет назад
8 лет назад
10 лет назад
10 лет назад
10 лет назад