• Предмет: Алгебра
  • Автор: Armin5555
  • Вопрос задан 8 лет назад

ПОЖАЛУЙСТА,СРОЧНО ПОМОГИТЕ РЕШИТЬ УРАВНЕНИЕ

Приложения:

Ответы

Ответ дал: rpocllab123ml
1

сначало пишешь свой пример, а том шари решения.

Приложения:
Ответ дал: dnepr1
1

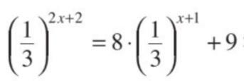
Сделаем замену: (1/3)^x = t.

Преобразуем исходное уравнение с учётом свойств степени.

(1/9)t² = 8*(1/3)t + 9. Умножим обе части на 9.

t² = 24*t + 81 = 0. Получаем квадратное уравнение:

t² - 24t - 81 = 0. D = (-24)² - 4*1*(-81) = 576 + 324 = 900. √D = +-30.

t1 = (24 - 30)/2 = -3. Не принимаем - положительная дробь в любой степени не может быть отрицательной.

t2 = (24 + 30)/2 = 27 = 3³.

Обратная замена: (1/3)^x = 3³ = (1/3)^(-3). отсюда х = -3.

Ответ: х = -3.

Вас заинтересует