Ответы
Ответ дал:
1
Ответ:
фото
Пошаговое объяснение:
Приложения:

Ответ дал:
0
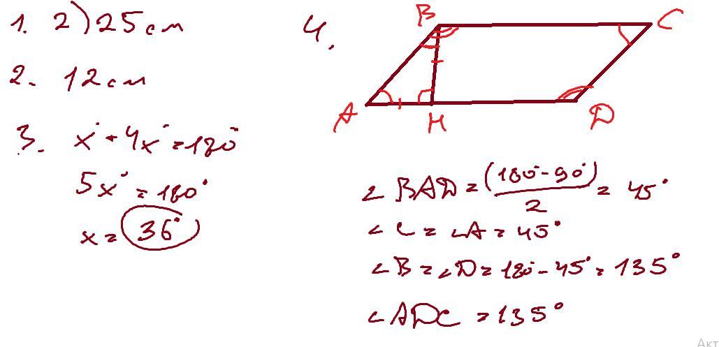
Ответ:
1) 25
2) 6
3) 36 гр.
4) 135 гр
Пошаговое объяснение:
1) 32/2+9
2) (3x+2x)*2=30
x=3 .
наименьшая сторона 2x
2*3=6
3) x+4x=180
x=180/5=36
4) угол bаh=45 гр
значит угол adc=180-45=135
Вас заинтересует
2 года назад
2 года назад
3 года назад
3 года назад
8 лет назад
8 лет назад
9 лет назад