• Предмет: Алгебра
  • Автор: prostoshkolnik5
  • Вопрос задан 7 лет назад

Помогите с алгеброй.
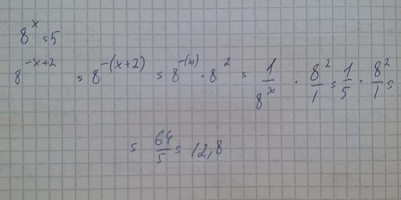
Известно, что 8^х=5. Найдите 8^-х+2​

Приложения:

Ответы

Ответ дал: Аноним
1

Ответ:

давно подобные задания не решал, так что надеюсь правильно

Объяснение:

Приложения:
Вас заинтересует