• Предмет: Алгебра
  • Автор: gennulll
  • Вопрос задан 8 лет назад

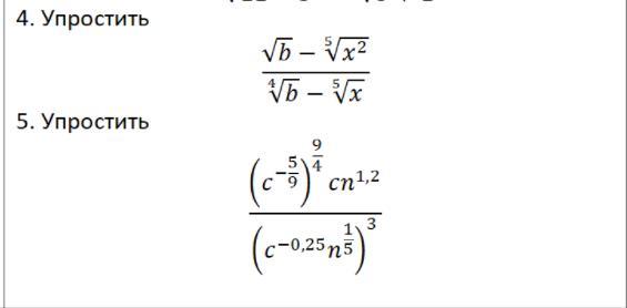
Буду благодарен! Два примера на упрощение выражений 10 класс

Приложения:

Ответы

Ответ дал: valeriacernova585
0

Ответ:

Надеюсь помогла

Всё на фото.

Приложения:
Вас заинтересует