• Предмет: Алгебра
  • Автор: zangir228b
  • Вопрос задан 8 лет назад

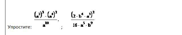
всё на фото без спама 20 баллов задание лёгкие

Приложения:

Ответы

Ответ дал: Nataliy12321
1

Ответ:

Не уверена, что правильно

Объяснение:

\frac{( a^{2} )^{3}-(a^{4})^{2}}{a^{10}} =\frac{a^{3}-a^{4}}{a^{5}}=a^{-2}+a=a + \frac{1}{a^{2}}

\frac{(2-b^{4}-a^{3})^{2}}{16-b^{9}-a^{5}}=\frac{4-b^{8}-a^{6}}{{16-b^{9}-a^{5}}}=\frac{1}{4}+b-a


zangir228b: благодарен
Вас заинтересует