• Предмет: Алгебра
  • Автор: kuch88
  • Вопрос задан 8 лет назад

Найди синус острого угла, если дан косинус того же угла.

 

Ответ: если cosα=2029, то sinα=

Приложения:

Ответы

Ответ дал: skala
2

Ответ:

Фото

Объяснение:

Приложения:

skala: Если помог, отметьте пожалуйста ответ как лучший :3
Ответ дал: Universalka
5

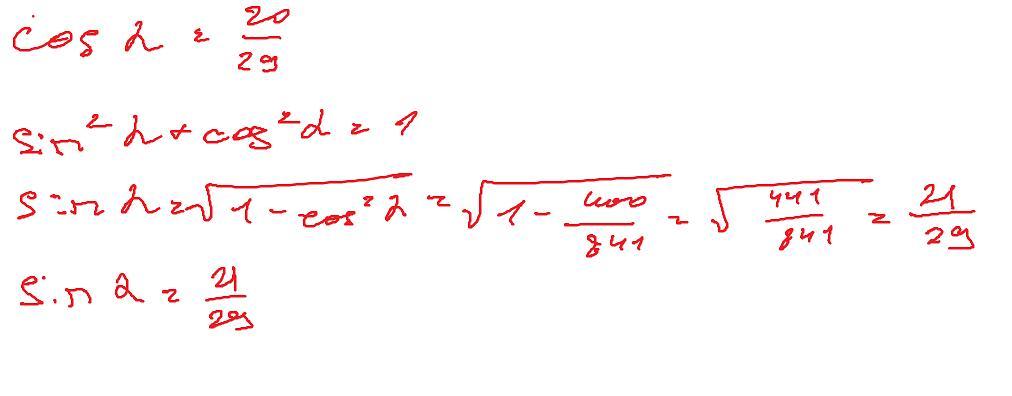
Cos\alpha =\dfrac{20}{29}\\\\\\Sin\alpha=\sqrt{1-Cos^{2}\alpha  } =\sqrt{1-\Big(\dfrac{20}{29}\Big)^{2}} =\sqrt{1-\dfrac{400}{841} } =\sqrt{\dfrac{841-400}{841} } =\\\\\\=\sqrt{\dfrac{441}{841} }=\dfrac{21}{29} \\\\\\\boxed{Sin\alpha=\dfrac{21}{29}}

Вас заинтересует