Ответы
Ответ дал:
1
Ответ:
Объяснение:
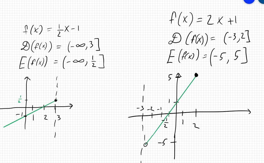
воооот я отметил основные точки по ним строй надеюсь у тебя лучше получится важно там где кружок не закрашен так надо а там где закрашен тоже
воот
PS E(f(x))-область значения если вы так обозначаете пиши
D(f(x))-область определения
Приложения:

sasha678845:
можешь начертить?
Вас заинтересует
2 года назад
3 года назад
3 года назад
8 лет назад
9 лет назад