Требуется помощь с дз по математике! [за спам бан]
В двух заданиях нужно обчислить границы функции.
Решение с переносом X за скобки не подходи
Приложения:


Ответы
Ответ дал:
1
lim(x->0) sin x / x = 1
1-й замечательный предел
lim(x->0) tg x / x = lim(x->0) sin x / x *1 /cos x = 1 * 1 = 1
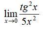
lim(x->0) tg² x/ 5x² = lim(x->0) (tg x / x)² * 1/5 = 1² * 1/5 = 1/5
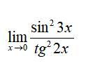
lim(x->0) sin² 3x / tg² 2x = lim(x->0) 9/9x² * sin² 3x * 4x² /4* tg² 2x = lim(x->0) 9 * sin² 3x / 9x² * 4x²/tg² 2x *1/4 = lim(x->0) 9/4 * (sin 3x/3x)² * (2x/tg 2x)² = 9/4 * 1² * 1² = 9/4
Аноним:
Большое спасибо!!
Вас заинтересует
2 года назад
2 года назад
3 года назад
3 года назад
8 лет назад
9 лет назад