• Предмет: Алгебра
  • Автор: nemnojechkoTyplu
  • Вопрос задан 8 лет назад

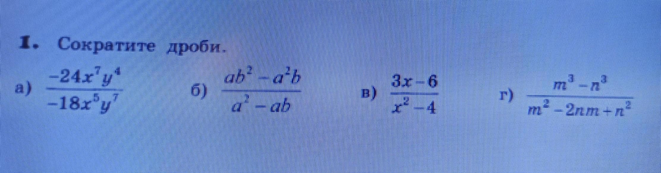
сократите пожалуйста дроби​

Приложения:

Ответы

Ответ дал: Iasherka
1

Ответ:

Решение на прикреплённом фото:

Приложения:
Вас заинтересует