Ответы
Ответ дал:
0
Ответ приведен в приложении.
Приложения:

Ответ дал:
0
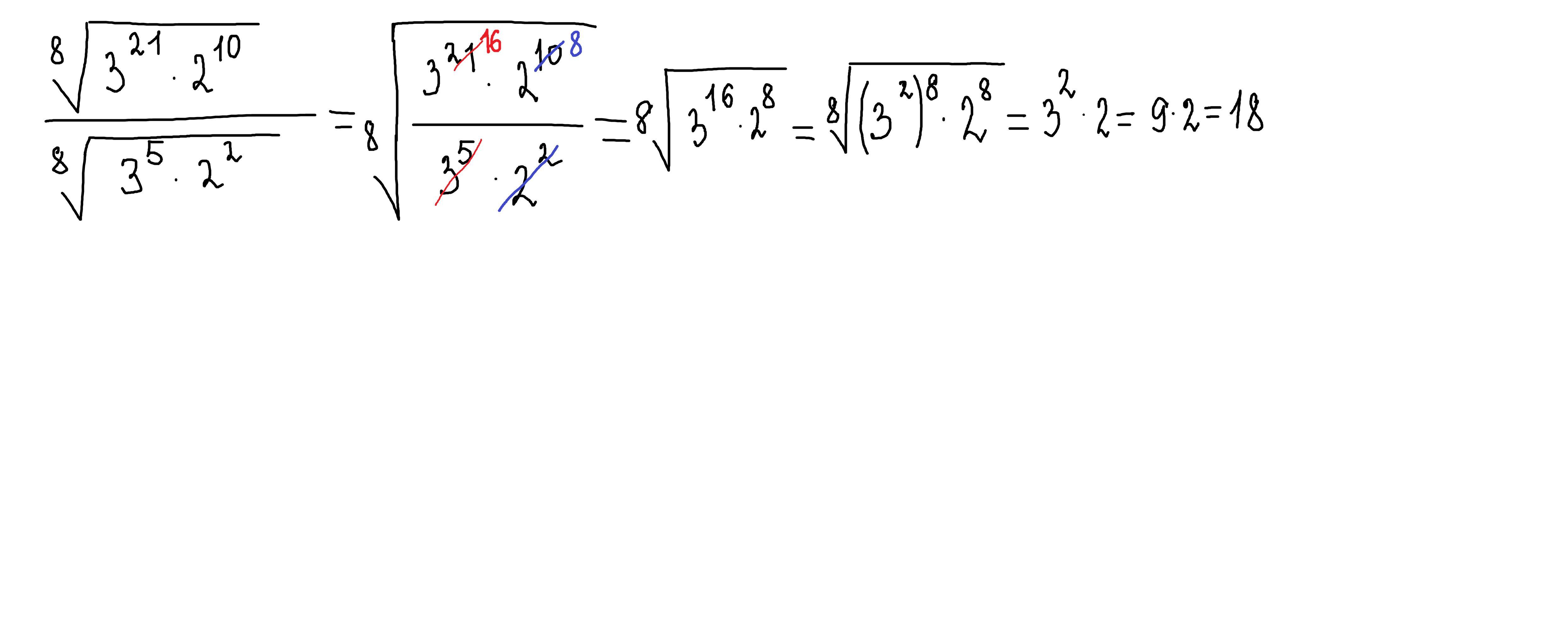
Ответ:
18
Пошаговое объяснение:
пользуемся свойством корней п-степени и св-вом степеней с одинаковым основанием
Приложения:

Вас заинтересует
2 года назад
2 года назад
3 года назад
8 лет назад
8 лет назад
9 лет назад