• Предмет: Алгебра
  • Автор: pyatachorg
  • Вопрос задан 8 лет назад

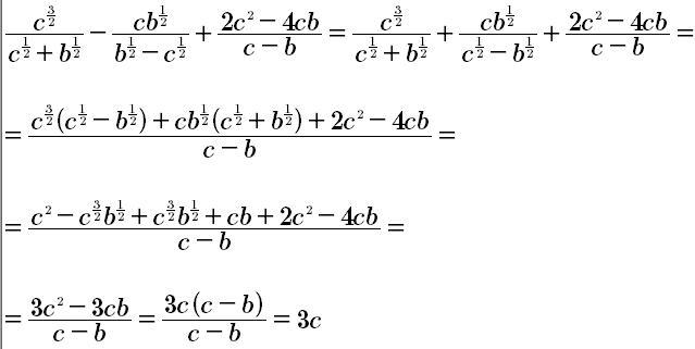
Упростить выражение , представлено на фото
Развернутое решение ( только не через фотомат ) ​

Приложения:

Ответы

Ответ дал: darakolasni
0

Объяснение:

все должно быть правильно, хотя, не уверен, но устал

Приложения:

pyatachorg: спасибо конечно , но в ответе написано 3с
darakolasni: попробую перерешить
darakolasni: я исправил
pyatachorg: Можете пожалуйста помочь с заданиями , вопрос в профиле
Ответ дал: bb573878
0

Ответ:

3c

Объяснение:

````````````````````````````````````````````````````````````````````

Приложения:

teams654: здравствуйте можете помочь с алгеброй
teams654: вопрос в профиле
Вас заинтересует