• Предмет: Алгебра
  • Автор: fox210779
  • Вопрос задан 8 лет назад

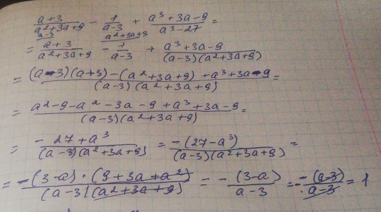
Упростите выражение



Срочно

Приложения:

Ответы

Ответ дал: larisaserova53
1

Ответ:

Смотри решение на фото выше

Приложения:

larisaserova53: пример решён неверно, я тот убрала, сделала новое фото, Я ошиблась в условии когда писала(в степени)
larisaserova53: Срочно исправьте, смотри новое фото. Ответ=1
larisaserova53: Исправили?
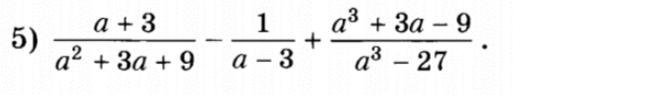
Ответ дал: zhidkeevaa
0

Объяснение:

там где с карандашом записано ошибка!

Приложения:
Вас заинтересует