• Предмет: Алгебра
  • Автор: dimashepel344
  • Вопрос задан 8 лет назад

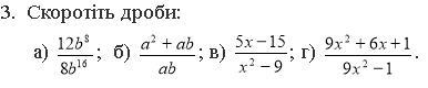
Скоротити дріб фото даю 20 балов

Приложения:

Ответы

Ответ дал: NNNLLL54
0

Ответ:

\displaystyle \frac{12b^8}{8b^{16}}=\frac{3\cdot 4b^8}{2b^8\cdot 4b^8}=\frac{3}{2b^8}\\\\\\\frac{a^2+ab}{ab}=\frac{a(a+b)}{a\, b}=\frac{a+b}{b}\\\\\\\frac{5x-15}{x^2-9}=\frac{5(x-3)}{(x-3)(x+3)}=\frac{5}{x+3}\\\\\\\frac{9x^2+6x+1}{9x^2+1}=\frac{(3x+1)^2}{(3x+1)(3x-1)}=\frac{3x+1}{3x-1}

Вас заинтересует
3 года назад