• Предмет: Математика
  • Автор: fysawxy
  • Вопрос задан 8 лет назад

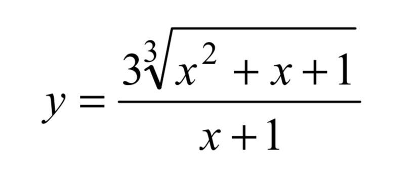
помогите найти производную у’

Приложения:

Ответы

Ответ дал: tryshchuk7
0
X+1-x=3……………………..держиии

fysawxy: а можно решение?
tryshchuk7: Нету таких символов извини напиши просто так
Вас заинтересует
2 года назад