• Предмет: Алгебра
  • Автор: bogdancrinicyn59
  • Вопрос задан 8 лет назад

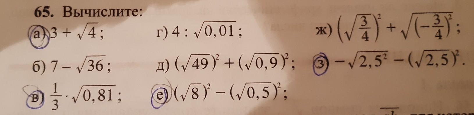
пожалуйста помогите даю 30 балов.​

Приложения:

Ответы

Ответ дал: emidnzb
3

Ответ:

а) 3 корня из 4

в) 0,9:3

е) 8 - 0,5 = 7,5

з) 0


bogdancrinicyn59: спосибо!!!
Вас заинтересует