• Предмет: Алгебра
  • Автор: Ferester
  • Вопрос задан 8 лет назад

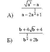
Сократить дробь. Смотрите ниже ↓↓↓

Приложения:

Ответы

Ответ дал: kucakregina09
1

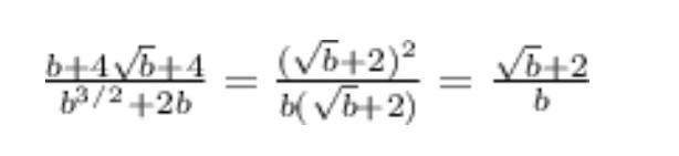
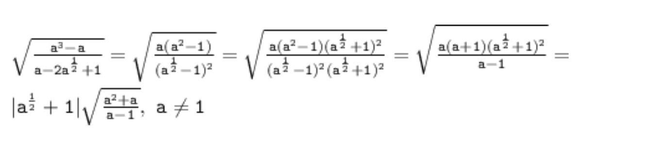
Ответ:

Вроде так, я точно не помню как решать:(

Приложения:
Вас заинтересует