• Предмет: Алгебра
  • Автор: anastasijadun8
  • Вопрос задан 11 лет назад

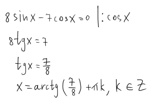
Решите пожалуйста  уравнение :
8sinx - 7cosx = 0

Ответы

Ответ дал: nikolac
0
Решение на картинке.
Приложения:
Вас заинтересует