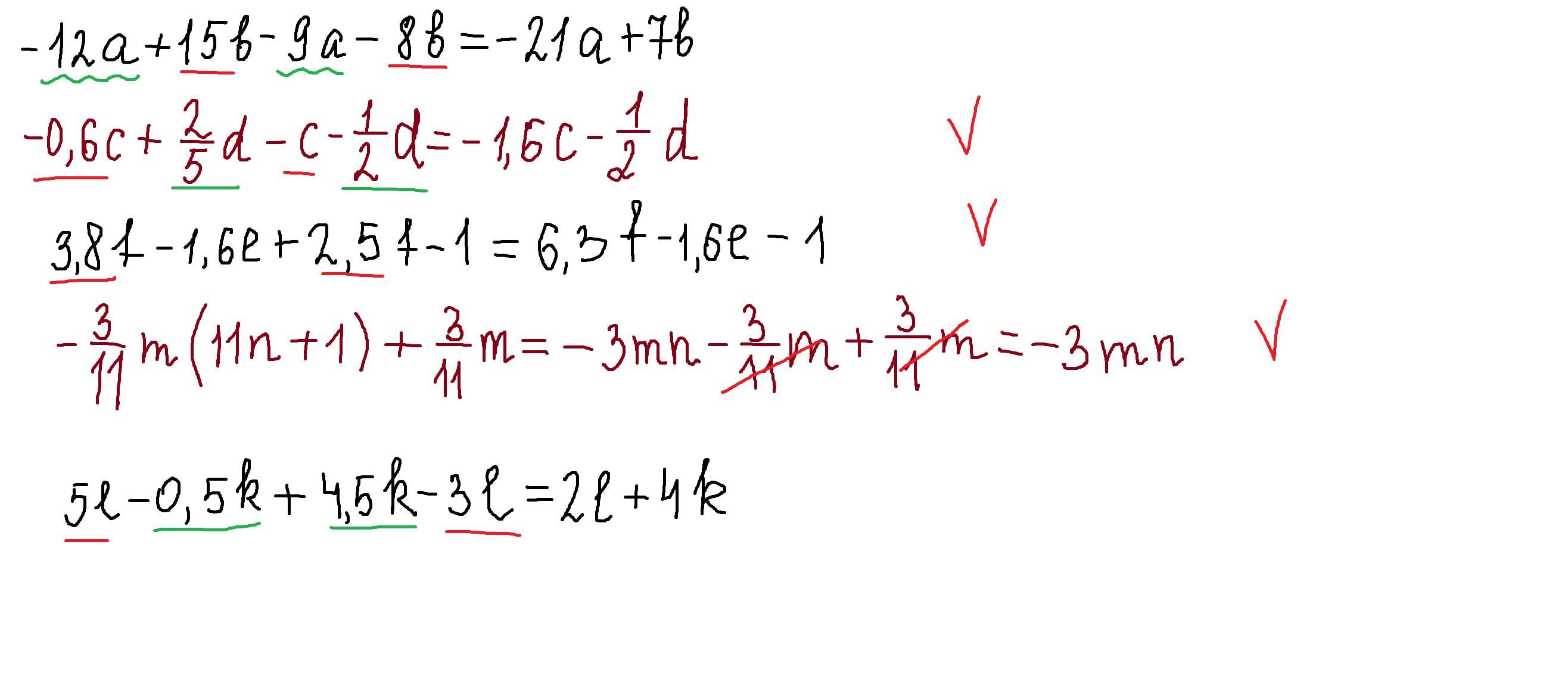
Галина Романовна раздала ученикам проверенные контрольные работы по теме "Торжества". Маша получила 3 за 3 неверно выполненных задания.
ПОМОГИТЕ ПОЖАЛУЙСТАААА
ДАМ 80 БАЛЛОВ
Приложения:

matveynikolaev260507:
2,3,4
Ответы
Ответ дал:
2
Отмечай задания под номером 2, 3, 4.
Ответ дал:
5
Ответ:
во2,3 и 4 строчках допущены ошибки
Объяснение:
верное решение внизу
Приложения:

Вас заинтересует
2 года назад
3 года назад
3 года назад
8 лет назад
9 лет назад