• Предмет: Алгебра
  • Автор: Eduard2hu
  • Вопрос задан 8 лет назад

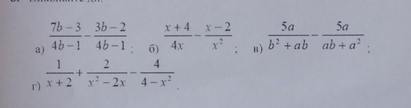
виконайте дії
срочно​

Приложения:

Ответы

Ответ дал: taibovasabina7
0

Ответ:

в) не получилось решить

Приложения:

Eduard2hu: неправильно
Вас заинтересует