Ответы
Ответ дал:
1
Ответ:
1
Пошаговое объяснение:
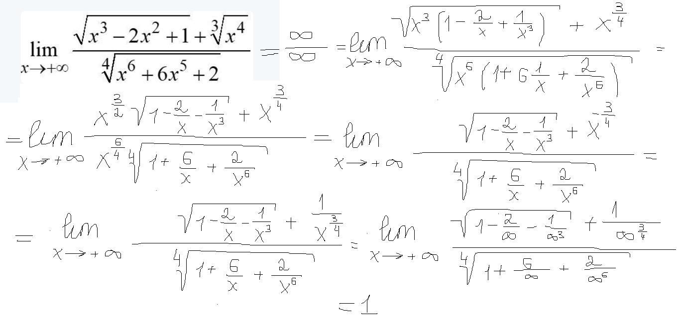
вот решение твоей задачи
Приложения:

Ответ дал:
1
Ответ:
решение смотрите на картинке
Пошаговое объяснение:
Приложения:

Вас заинтересует
2 года назад
2 года назад
3 года назад
3 года назад
8 лет назад
8 лет назад
9 лет назад