• Предмет: Математика
  • Автор: TheRuselFeed
  • Вопрос задан 8 лет назад

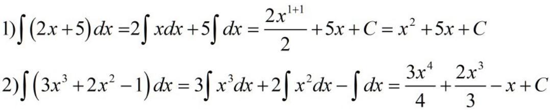
найдите множество первообразных функций
а) y=2x+5
б) y=3x^3+2x^2-1

Ответы

Ответ дал: DanilaKotov3619
0

Ответ:

1) x^2 + 5x + C

2) 3x^4/4 + 2x^3/3 - x + C

Пошаговое объяснение:

Решение смотри ниже :)

Приложения:

DanilaKotov3619: если правильно решил, не забудь оценить и отметить как лучший плиз :)
Вас заинтересует