• Предмет: Математика
  • Автор: bezumnyyvoy
  • Вопрос задан 8 лет назад

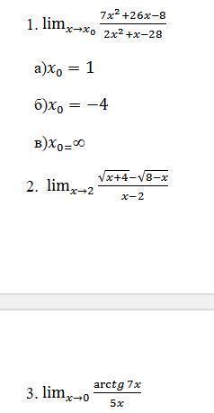
Решите срочно пожалуйста

Приложения:

Ответы

Ответ дал: juwal
0

Ответ:

1) а) -1

б) 0

в) 7/2

2) ответ корень(6)/6

3) ответ 7/5

Пошаговое объяснение:

1) под буквой а) подставляешь вместо х единицу и считаешь

б) тоже самое с -4

в) отрезаешь "хвосты", то есть оставляешь наибольшую степень. Получится 7x^2/2x^2. x^2 - сокращаешь, остается 7/2

2) для этого пункта и пункта 3) прилагаю скриншоты

Приложения:
Вас заинтересует