• Предмет: Алгебра
  • Автор: olesiasiaaaa
  • Вопрос задан 8 лет назад

Слелайте пожалуста номер 4

Приложения:

Ответы

Ответ дал: AheadTock
1

Відповідь:

0

Пояснення:

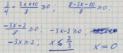
Поскольку у нас корень, то значение под корнем должно быть неотрицательным. Решаем неравенство и находим, что x\leq \frac{2}{3}. Соотвенственно наибольшее целое значение будет 0.

Приложения:
Вас заинтересует