• Предмет: Алгебра
  • Автор: sasha07022005
  • Вопрос задан 8 лет назад

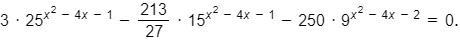
Решите пожалуйста уравнение.

Приложения:

Ответы

Ответ дал: nastja10948
0

Ответ:

Объяснение:

Надеюсь что так

Приложения:

sasha07022005: надо корни найти, а не упростить
nastja10948: Я же написала, надеюсь что так, я не написала что 100% правильно
Вас заинтересует