Задача Задача Задача Задача Задача Задача
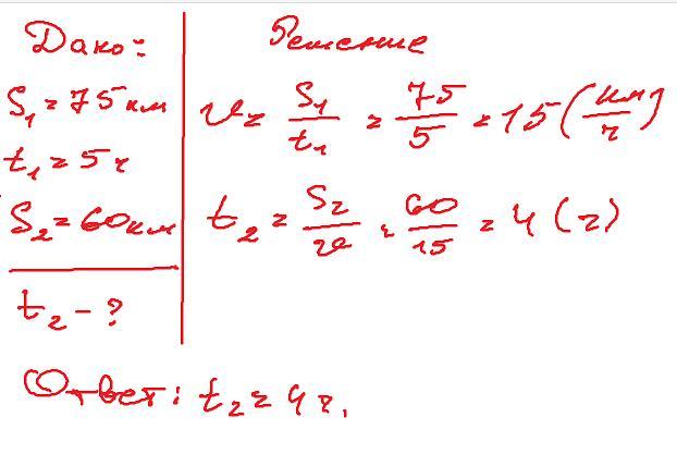
Лыжник за 5 часов прошел 75 км.Сколько времени ему потребуется чтобы с той же скоростью пройти 60 км
Ответы
Ответ дал:
3
Ответ:
75/5=15 км/час скорость лыжника
60/15=4 часа
Аноним:
спасибо
Ответ дал:
1
Ответ:
фото
Пошаговое объяснение:
Приложения:

Вас заинтересует
2 года назад
2 года назад
8 лет назад
9 лет назад