• Предмет: Алгебра
  • Автор: rusvaleev07
  • Вопрос задан 8 лет назад

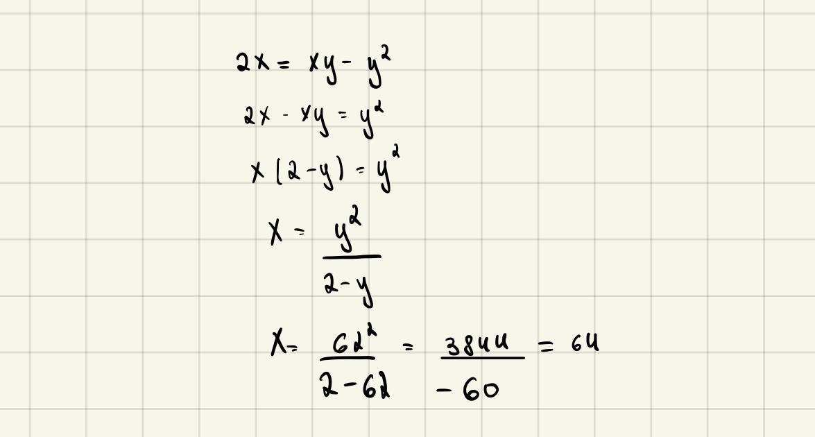
Вырази переменную x из формулы 2x=xy−y2. Найди значение переменной, если y=62.

Приложения:

Ответы

Ответ дал: burkovadim
1

Ответ:

Привет , сижу на паре . Решил все четко , удачи мужик

Объяснение:

Приложения:
Вас заинтересует