• Предмет: Алгебра
  • Автор: zimzim0372
  • Вопрос задан 8 лет назад

помогите срочно пожалуйста я вас умоляю. мин 40 уже сижу​

Приложения:

Ответы

Ответ дал: parus77
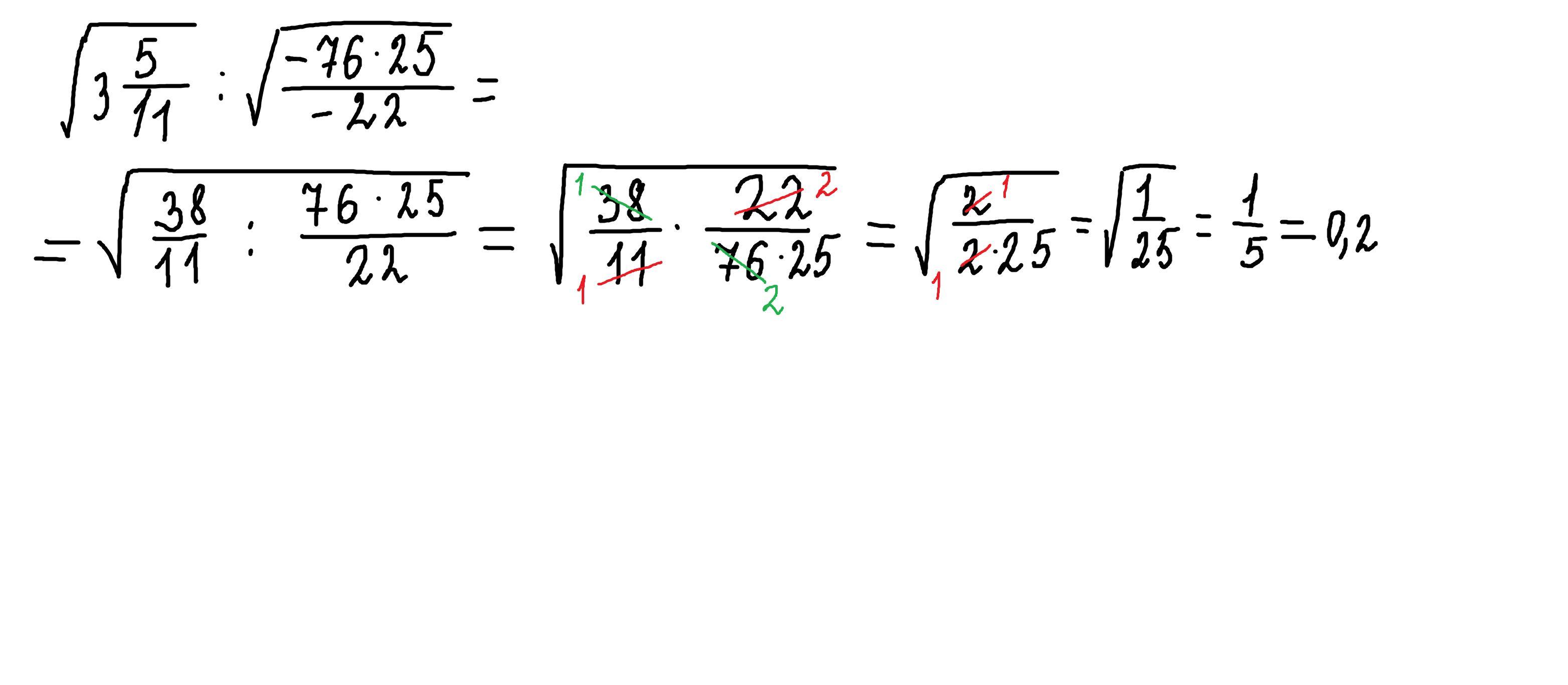
2

Ответ:

0,2

Объяснение: минус на минус при делении дает плюс

пользуемся св-вом  квадратного корня

Приложения:
Вас заинтересует