• Предмет: Математика
  • Автор: csgogt5
  • Вопрос задан 8 лет назад

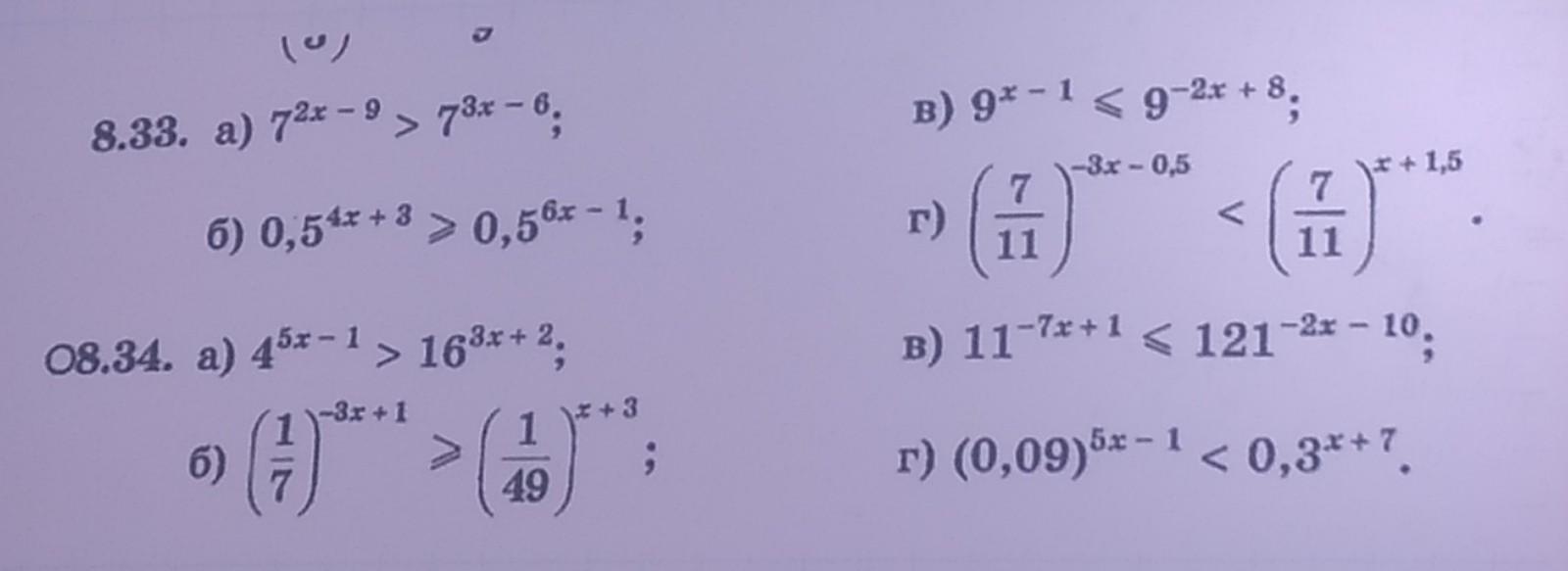
помогите решить ,срочно нужно!​

Приложения:

Ответы

Ответ дал: abubakir20072008
0

Ответ:

0

Пошаговое объяснение:

Вас заинтересует