• Предмет: Алгебра
  • Автор: dariadaris761
  • Вопрос задан 8 лет назад

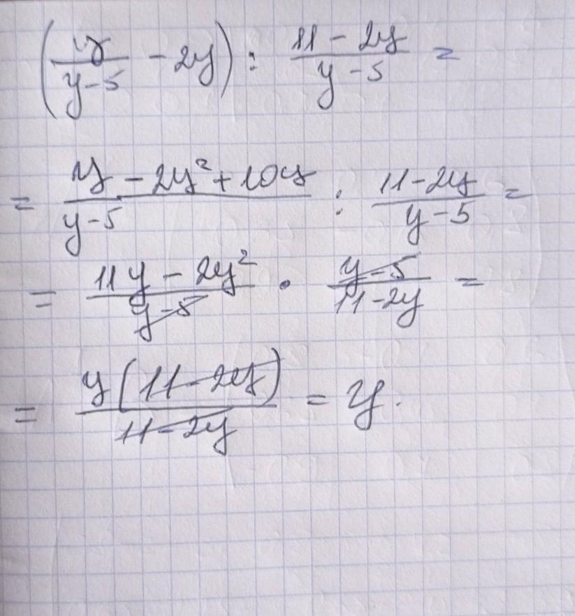
помогите пожалуйста!! нужен ответ и решение!!! ​

Приложения:

Ответы

Ответ дал: fikusoidmomikoto
1

верный вариант ответа 4

Приложения:

dariadaris761: спасибо большое
Вас заинтересует