• Предмет: Математика
  • Автор: nika3470
  • Вопрос задан 8 лет назад

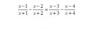
Помогите пожалуйста,очень срочно и нужно решить уравнение!!)))

Приложения:

Ответы

Ответ дал: Monti2108
1

Ответ:

1.

x =  -  \frac{5}{2}

2.

x = 0


nika3470: 1 или 2?
Вас заинтересует