• Предмет: Алгебра
  • Автор: egova06
  • Вопрос задан 7 лет назад

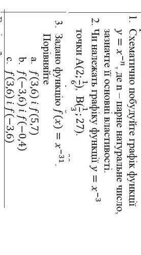
помогите пожалуйста!!!​

Приложения:

Ответы

Ответ дал: tagaevasogdiana
0

Объяснение:

я чуть поняла но там на украинском языке мне сложно ели на русском то наверное было бы правильно

Вас заинтересует