• Предмет: Математика
  • Автор: Yclients
  • Вопрос задан 7 лет назад

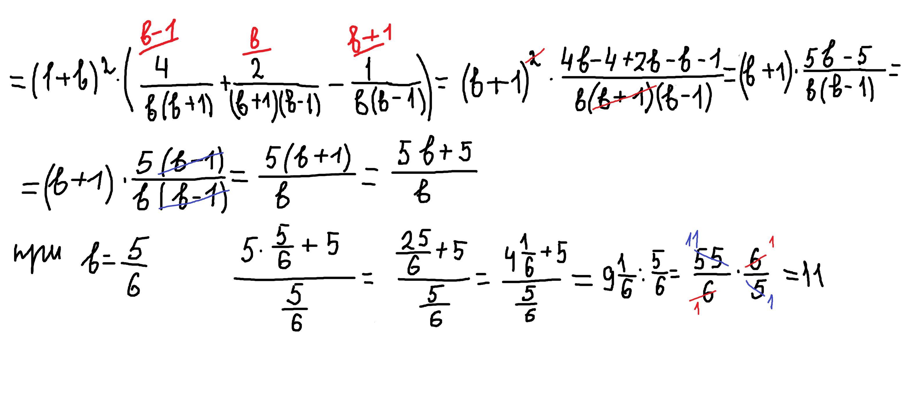
3. Найдите значение выражения​

Приложения:

Ответы

Ответ дал: parus77
1

Ответ:

11

Пошаговое объяснение:

решение внизу

Приложения:
Вас заинтересует