• Предмет: Алгебра
  • Автор: federovevgeniy
  • Вопрос задан 8 лет назад

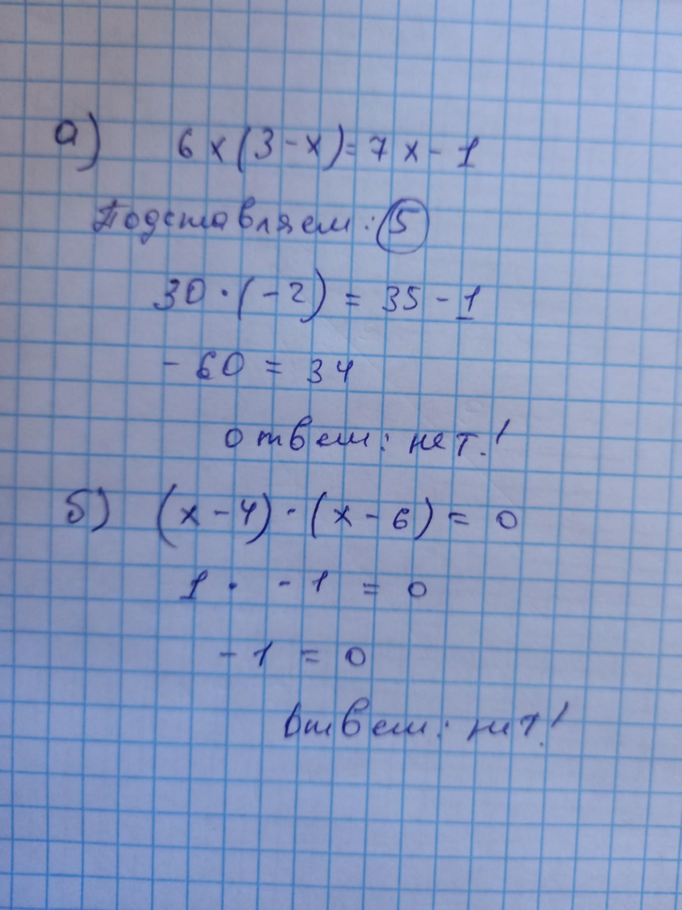
Является ли число 5 корнем уравнения а)6х(3-х)=7х-1 б) (х-4)(х-6)=0​


velencevigor: В первом случае нет, так как по формуле дискриминанта х=11/12+-корень(145)/12. Во втором случае х1=4, х2=6. Следовательно, 5 ни является корнем не одному из уравнений
Eward: ну да
velencevigor: У меня не было кнопки ответа, потому написал сюда. Не понимаю вашего "ну да"

Ответы

Ответ дал: Eward
1

Ответ:

ответ описан в фотографии

Приложения:
Вас заинтересует