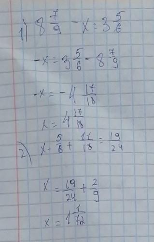
5. Решите уравнение:
1) 8 целых 7/9-х=3 целых 5/6
2) х-5/6+11/18=19/24 напишите полное решение пожалуйста
Ответы
Ответ дал:
0
№1
8 7/9-x=3
x=8 7/9-3
x=5 7/9
Ответ: 5 7/9
№2
(x-5/6)+11/18=19/24
x-5/6+11/18=19/24
x-15/18+11/18=19/24
x-4/18=19/24
x=19/24+4/18
x=19*3/72+4*4/72
x=57/72+16/72
x=73/72
x=1 1/72
Ответ: 1 1/72
Ответ дал:
1
Ответ предоставлен на фото
Приложения:

cona53:
????
Вас заинтересует
3 года назад
3 года назад
8 лет назад
8 лет назад
9 лет назад