• Предмет: Геометрия
  • Автор: Kent0807
  • Вопрос задан 11 лет назад

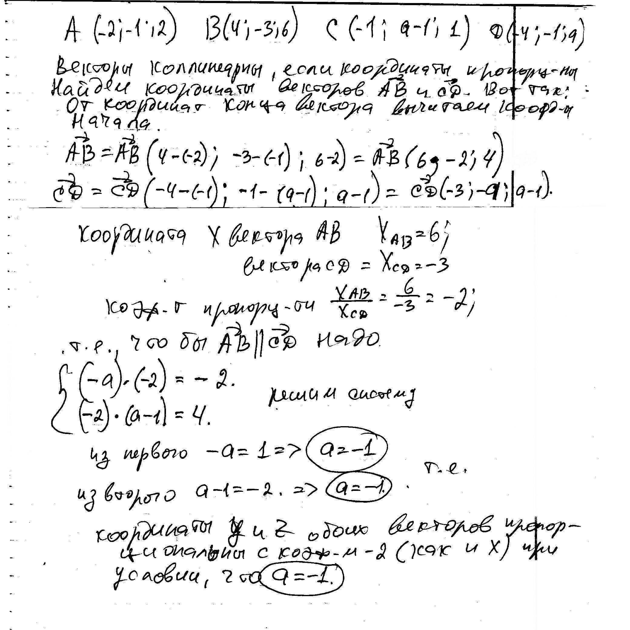
при каких значения "а" векторы АВ и CD коллинеарны
A (-2; -1; 2)

B (4; -3; 6)
C (-1; a-1; 1)

D (-4; -1; a)

Ответы

Ответ дал: ужнеужели
0
решение в скане.........
Приложения:
Вас заинтересует