• Предмет: Алгебра
  • Автор: ibocarov83430
  • Вопрос задан 8 лет назад

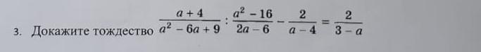
Докажите тождетсво ПОЖАЛУЙСТА СРОЧНО

Приложения:

Ответы

Ответ дал: sstavridka
0

Ответ:

пусть а=х

 \frac{x + 4}{ {x}^{2} - 6x + 9 }  \times  \frac{2x - 6}{ {x}^{2} - 16 }  -  \frac{2}{x - 4}  =  \\  =  \frac{x + 4}{ {(x - 3)}^{2} }  \times  \frac{2(x - 3)}{(x - 4)(x + 4)}  -  \frac{2}{x - 4}  =  \\  =  \frac{2}{(x - 3)(x - 4)}  -  \frac{2}{x - 4}  =  \\  =  \frac{2 - 2(x - 3)}{(x - 3)(x - 4)}  =  \\  =  \frac{8 - 2x}{(x - 3)(x - 4)}  =  \\  =   \frac{ - 2(x - 4)}{ - (3 - x)(x - 4)}  =  \\  =  \frac{2}{3 - x}

тождество доказано

Ответ дал: ivan48367
0

Ответ:

...........................................................

Приложения:
Вас заинтересует