• Предмет: Математика
  • Автор: hamutenok
  • Вопрос задан 10 лет назад

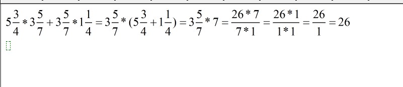
 помогите решить 5 3/4 * 3 5/7 + 3 5/7 * 1 1/4

Ответы

Ответ дал: triolana
0
============================================
Приложения:
Вас заинтересует