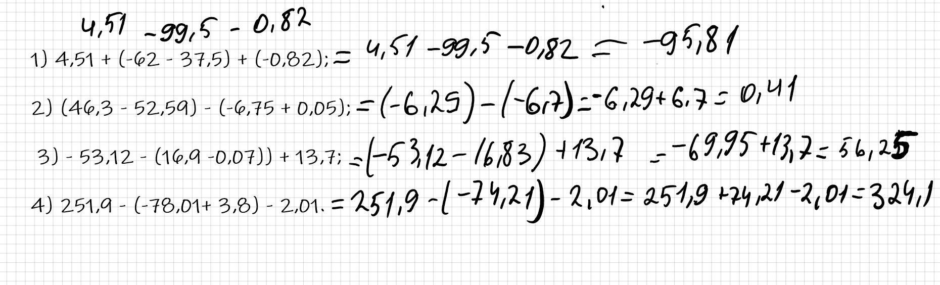
529. Вычислите: 1) 4,51 + (-62 - 37,5) + (-0,82); 2) (46,3 - 52,59) - (-6,75 + 0,05); 3) - 53,12 - (16,9 -0,07)) + 13,7; 4) 251,9 - (-78,01+ 3,8) - 2,01.
Ответы
Ответ дал:
34
Пошаговое объяснение: вычисляем сперва то что в скобках, затем раскрываем их, вычисляем
Приложения:

minecraftdev716:
спасибо большое
Вас заинтересует
2 года назад
2 года назад
3 года назад
3 года назад
8 лет назад
9 лет назад