• Предмет: Алгебра
  • Автор: Аноним
  • Вопрос задан 8 лет назад

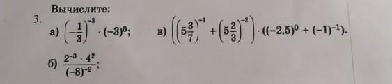
помогите пожалуйста 100 баллов дам​

Приложения:

Ответы

Ответ дал: ahot18
1

Ответ:

1) (-1/3)-3×(-3)0= - 1/6 нулевой стени а остальное очень лёгкое попробуй сам • ‿ • если не сможешь попроси в комментариях я помогу с остальным!

Ответ дал: tatsach
1

Ответ:

Объяснение:

..........

Приложения:
Вас заинтересует