Ответы
Ответ дал:
1
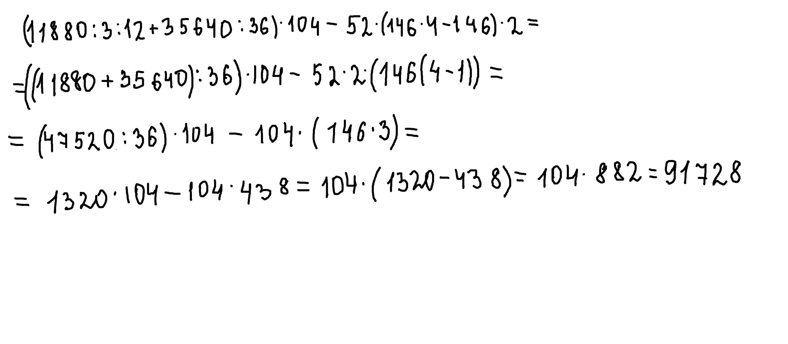
Ответ:
91728
Пошаговое объяснение:
решение внизу
Приложения:

viktoriia201053:
спасибо большое!!
Вас заинтересует
2 года назад
3 года назад
3 года назад
8 лет назад
8 лет назад
9 лет назад