• Предмет: Алгебра
  • Автор: nkbaek
  • Вопрос задан 8 лет назад

помогите пж с алгеброй, 7 класс​

Приложения:

Ответы

Ответ дал: fishchukanastasia
1

Ответ:

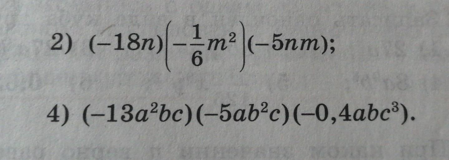
2)(-18n)(-1\6m2)(-5nm)= -18n*1\6m2*5mn= -3nm2*5mn= -15m3n2

4)(-13a2bc)(-5ab2c)(-0,4abc3)= -13a2bc*5ab2c*0,4abc3= -26a4b4c4

Объяснение:


nkbaek: спасибо!!!
Вас заинтересует