• Предмет: Алгебра
  • Автор: lolbly247
  • Вопрос задан 7 лет назад

Вычесли используя своества арефметическога крадватного корня ​

Приложения:

Ответы

Ответ дал: gyhb7178
1

Объяснение:

вот правильный ответ незаччто

Приложения:

lolbly247: спасибо
gyhb7178: нзч
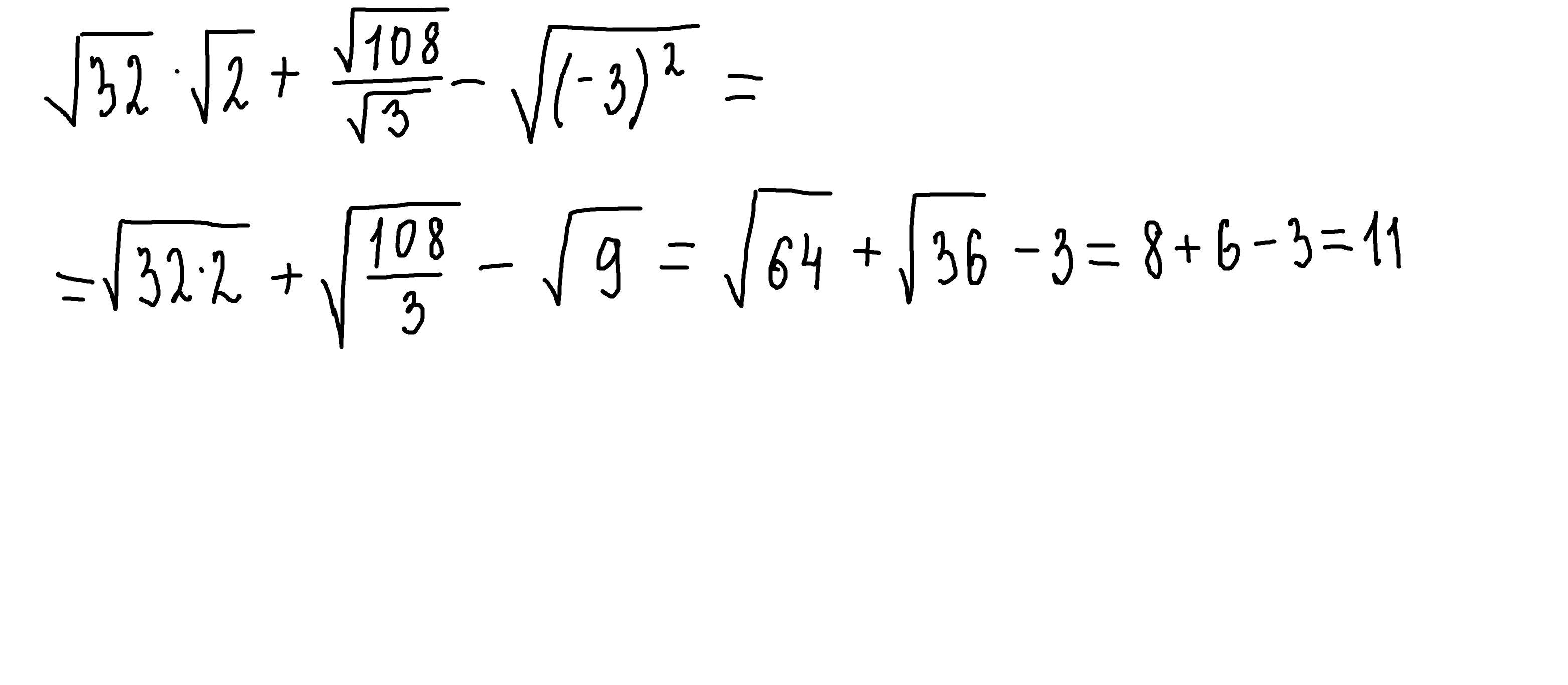
Ответ дал: parus77
0

Ответ:

11

Объяснение:

решение внизу

1)произведение корней равно корню из произведения√а*√в=√а*в

2) частное корней равно корню из частного  √а\√в= √а\в

Приложения:
Вас заинтересует